| Responsible |
|
| Last Updated | 10/12/2025, 12:48:54 PM |
| Last Author | Kai Berszin |
Magnetometer
Scope
This page describes the hardware properties of the CubeMag Deployable and the mathematical description of the functionality of a Magnetorquer.
CubeMag
The CubeMag is a deployable Magnetometer. It is temperature calibrated and can be calibrated in orbit. It can be restowed after deployment.
The CubeMag Deployable is pre-calibrated by CubeSpace and can be recalibrated in orbit. It is a deployable Magnetometer mounted on the +X axis.
These are the specs: 
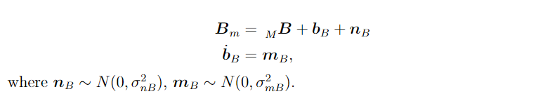
Mathematical description
The 3 axis magnetometer measures the strength and direction of the Earth’s magnetic field in the magnetometer coordinate frame (M). The measurement model is
